⚡ **CHEAT SHEET – Class 12 Physics
Chapter 1: Electric Charges and Fields**
1️⃣ Electric Charge
- मूल कण: Electron (–e), Proton (+e)
- Charge is quantized → q=ne
- Charge is conserved
- दो प्रकार: Positive और Negative
2️⃣ Properties of Electric Charge
- Like charges → repel
- Unlike charges → attract
- Additive nature
- Quantization:

3️⃣ Coulomb’s Law (VERY IMPORTANT)
दो स्थिर आवेशों के बीच बल:

✔ inverse-square law
✔ force along line joining charges
4️⃣ Superposition Principle
कुल बल = individual forces का vector sum

5️⃣ Electric Field (E-Field)
किसी charge के आसपास वह क्षेत्र जहाँ वह बल लगाता है।

6️⃣ Electric Field Lines
- Positive → outward
- Negative → inward
- Never intersect
- Density ∝ strength of field
- Parallel & equally spaced → uniform field
7️⃣ Electric Dipole
दो equal और opposite charges +d separation पर।

8️⃣ Torque on a Dipole
Uniform electric field में:

9️⃣ Continuous Charge Distributions

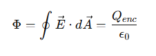
🔟 Gauss’s Law (SUPER IMPORTANT, SURE-SHOT QUESTION)

Uses:
- Symmetric charge distributions
- Infinite line charge
- Infinite plane sheet
- Spherical shell
1️⃣1️⃣ Electric Field Using Gauss’s Law

⭐ MOST IMPORTANT EXAM QUESTIONS
✔ State & apply Gauss’s law
✔ Electric field for line charge, plane sheet, spherical shell
✔ Dipole moment & dipole field derivation
✔ Coulomb’s law + vector form
✔ Superposition principle
✔ Field lines properties
✔ Why E = 0 inside spherical shell?
✔ Continuous charge distribution examples
